• <tt id="iii8i"></tt>
  • <li id="iii8i"><tt id="iii8i"></tt></li>
  • <li id="iii8i"><tt id="iii8i"></tt></li>
    <li id="iii8i"></li>
     
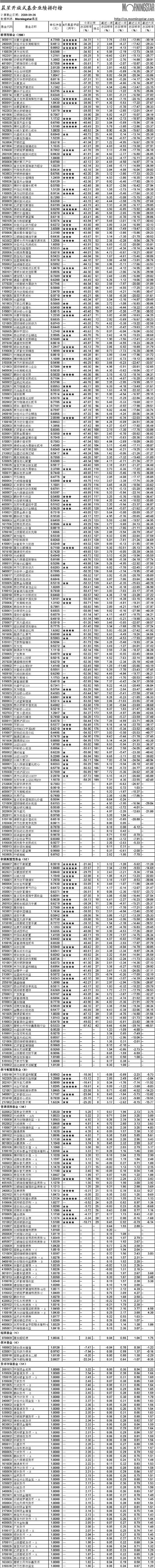
    晨星開放式基金業績排行榜[2008-10-06]
        2008-10-06        來源:經濟參考報

      相關稿件
    · 晨星開放式基金業績排行榜[2008-09-22] 2008-09-22
    · 晨星開放式基金業績排行榜[2008-09-08] 2008-09-08
    · 晨星開放式基金業績排行榜[2008-09-01] 2008-09-01
    · 晨星開放式基金業績排行榜[2008-07-28] 2008-07-28
    · 上半年基金業績整體回落 三季度可望謹慎樂觀 2008-07-24
     
    国产精品清高在线