• <tt id="iii8i"></tt>
  • <li id="iii8i"><tt id="iii8i"></tt></li>
  • <li id="iii8i"><tt id="iii8i"></tt></li>
    <li id="iii8i"></li>
     
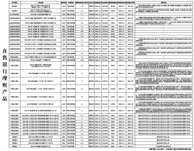
    在售銀行理財產品[2009-11-20]
        2009-11-20    作者:數據來源 Winda資訊    來源:經濟參考報

      相關稿件
    · 在售銀行理財產品[圖表] 2009-11-06
    · 在售銀行理財產品【圖表】 2009-10-30
    · 在售銀行理財產品[圖表] 2009-10-23
    · 在售銀行理財產品[圖表] 2009-10-16
    · 在售銀行理財產品[圖表] 2009-09-25
     
    国产精品清高在线