• <tt id="iii8i"></tt>
  • <li id="iii8i"><tt id="iii8i"></tt></li>
  • <li id="iii8i"><tt id="iii8i"></tt></li>
    <li id="iii8i"></li>
     
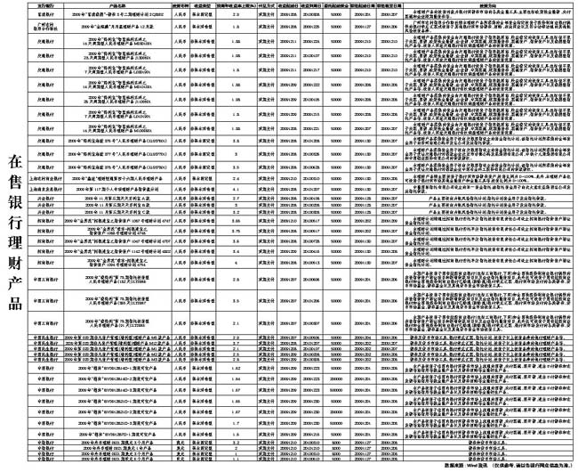
    在售銀行理財產品[2009-12-04]
        2009-12-04    作者:Wind資訊    來源:經濟參考報

      相關稿件
    · 在售銀行理財產品[2009-11-27] 2009-11-27
    · 在售銀行理財產品[2009-11-20] 2009-11-20
    · 在售銀行理財產品[2009-11-13] 2009-11-13
    · 在售銀行理財產品[圖表] 2009-11-06
    · 在售銀行理財產品【圖表】 2009-10-30
     
    国产精品清高在线