• <tt id="iii8i"></tt>
  • <li id="iii8i"><tt id="iii8i"></tt></li>
  • <li id="iii8i"><tt id="iii8i"></tt></li>
    <li id="iii8i"></li>
     
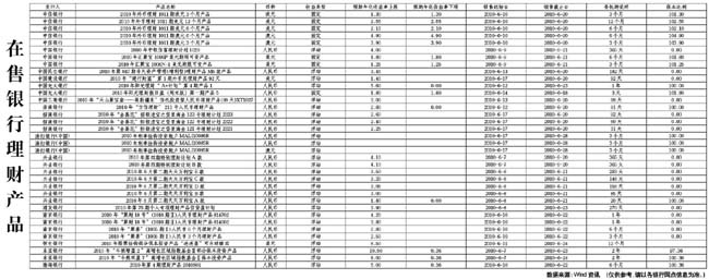
    在售銀行理財產品[2010-0618]
        2010-06-18    作者:Wind資訊    來源:經濟參考報

      相關稿件
    · 在售銀行理財產品[2010-06-11] 2010-06-11
    · 在售銀行理財產品[2010-05-28] 2010-05-28
    · 在售銀行理財產品[2010-05-21] 2010-05-21
    · 在售銀行理財產品[2010-05-14] 2010-05-14
    · 在售銀行理財產品[2010-05-07] 2010-05-07
     
    国产精品清高在线