• <tt id="iii8i"></tt>
  • <li id="iii8i"><tt id="iii8i"></tt></li>
  • <li id="iii8i"><tt id="iii8i"></tt></li>
    <li id="iii8i"></li>
     您的位置: 首頁 >> 財智頻道(2010版) >> 銀行
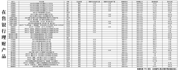
    在售銀行理財產品[2010-06-18]
    2010-06-18   作者:  來源:經濟參考報
     

      凡標注來源為“經濟參考報”或“經濟參考網”的所有文字、圖片、音視頻稿件,及電子雜志等數字媒體產品,版權均屬新華社經濟參考報社,未經書面授權,不得以任何形式發表使用。
     
    相關新聞:
    · 在售銀行理財產品[2010-06-11] 2010-06-11
    · 法興銀行:推出人民幣信托理財產品 2010-06-11
    · 理財產品尚需多重回歸 2010-06-04
    · 在售銀行理財產品[2010-05-28] 2010-05-28
    · 在售銀行理財產品[2010-05-21] 2010-05-21
     
    頻道精選:
    ·測試新聞
     
    国产精品清高在线