• <tt id="iii8i"></tt>
  • <li id="iii8i"><tt id="iii8i"></tt></li>
  • <li id="iii8i"><tt id="iii8i"></tt></li>
    <li id="iii8i"></li>
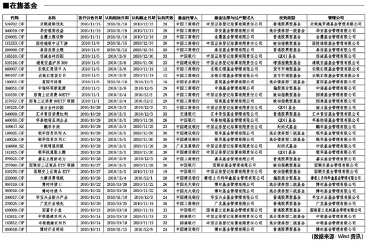
    在售基金[2010-11-19]
    2010-11-19   作者:  來源:經濟參考報
     
    【字號

      凡標注來源為“經濟參考報”或“經濟參考網”的所有文字、圖片、音視頻稿件,及電子雜志等數字媒體產品,版權均屬新華社經濟參考報社,未經書面授權,不得以任何形式發表使用。
     
    相關新聞:
    · 在售基金[2010-10-15] 2010-10-15
    · 在售基金[2010-10-08] 2010-10-08
    · 在售基金[2010-09-17] 2010-09-17
    · 在售基金[2010-09-10] 2010-09-10
    · 在售基金[2010-09-03] 2010-09-03
     
    頻道精選:
    ·[財智]天價奇石開價過億元 誰是價格推手?·[財智]存款返現赤裸裸 銀行攬存大戰白熱化
    ·[思想]黃祖斌:中國銀行業的利差低于國際同業·[思想]財經洞察:“氣荒”瀕臨 何以解憂
    ·[讀書]《五常學經濟》·[讀書]投資盡可逆向思維 做人恪守道德底線
     
    關于我們 | 版面設置 | 聯系我們 | 媒體刊例 | 友情鏈接
    經濟參考報社版權所有 本站所有新聞內容未經協議授權,禁止下載使用
    新聞線索提供熱線:010-63074375 63072334 報社地址:北京市宣武門西大街甲101號
    Copyright 2000-2010 XINHUANET.com All Rights Reserved.京ICP證010042號
    国产精品清高在线