• <tt id="iii8i"></tt>
  • <li id="iii8i"><tt id="iii8i"></tt></li>
  • <li id="iii8i"><tt id="iii8i"></tt></li>
    <li id="iii8i"></li>
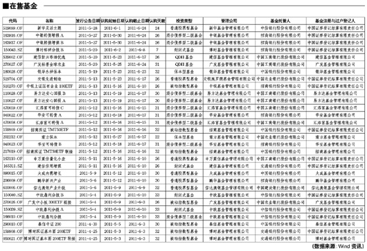
    在售基金[2011-06-03]
    2011-06-03   作者:  來源:經濟參考報
     
    【字號

      凡標注來源為“經濟參考報”或“經濟參考網”的所有文字、圖片、音視頻稿件,及電子雜志等數字媒體產品,版權均屬新華社經濟參考報社,未經書面授權,不得以任何形式發表使用。
     
    相關新聞:
     
    頻道精選:
    ·[財智]中國概念股造假危機不斷 在美遇寒流·[財智]忽悠不斷 黑幕頻現,券商能否被信任
    ·[思想]魯政委:資本項下全開放時機未到·[思想]厲以寧:怎樣看待用工成本上升
    ·[讀書]《五常學經濟》·[讀書]投資盡可逆向思維 做人恪守道德底線
     
    關于我們 | 版面設置 | 聯系我們 | 媒體刊例 | 友情鏈接
    經濟參考報社版權所有 本站所有新聞內容未經協議授權,禁止下載使用
    新聞線索提供熱線:010-63074375 63072334 報社地址:北京市宣武門西大街甲101號
    Copyright 2000-2010 XINHUANET.com All Rights Reserved.京ICP證010042號
    国产精品清高在线