• <tt id="iii8i"></tt>
  • <li id="iii8i"><tt id="iii8i"></tt></li>
  • <li id="iii8i"><tt id="iii8i"></tt></li>
    <li id="iii8i"></li>
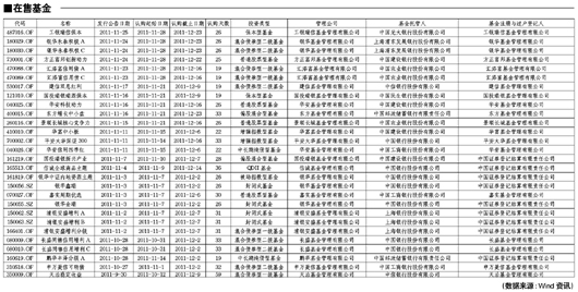
    在售基金[2011-12-02]
    2011-12-02   作者:  來源:經濟參考報
     
    【字號

      凡標注來源為“經濟參考報”或“經濟參考網”的所有文字、圖片、音視頻稿件,及電子雜志等數字媒體產品,版權均屬新華社經濟參考報社,未經書面授權,不得以任何形式發表使用。
     
    相關新聞:
    · 在售基金[2011-11-18] 2011-11-18
    · 在售基金[2011-11-04] 2011-11-04
    · 在售基金[2011-10-28] 2011-10-28
    · 在售基金[2011-10-21] 2011-10-21
    · 在售基金[2011-10-14] 2011-10-14
    頻道精選:
    ·[財智]肯德基曝炸雞油4天一換 陷食品安全N重門·[財智]忽悠不斷 黑幕頻現,券商能否被信任
    ·[思想]周繼堅:別讓“陸地思維”毀了渤海灣·[思想]鈕文新:緊縮貨幣“弊端”凸顯
    ·[讀書]《五常學經濟》·[讀書]投資盡可逆向思維 做人恪守道德底線
     
    關于我們 | 版面設置 | 聯系我們 | 媒體刊例 | 友情鏈接
    經濟參考報社版權所有 本站所有新聞內容未經協議授權,禁止下載使用
    新聞線索提供熱線:010-63074375 63072334 報社地址:北京市宣武門西大街甲101號
    Copyright 2000-2010 XINHUANET.com All Rights Reserved.京ICP證010042號
    国产精品清高在线