• <tt id="iii8i"></tt>
  • <li id="iii8i"><tt id="iii8i"></tt></li>
  • <li id="iii8i"><tt id="iii8i"></tt></li>
    <li id="iii8i"></li>
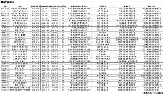
    在售基金[2012-06-01]
    2012-06-01   作者:  來源:經濟參考報
     
    【字號

      凡標注來源為“經濟參考報”或“經濟參考網”的所有文字、圖片、音視頻稿件,及電子雜志等數字媒體產品,版權均屬經濟參考報社,未經經濟參考報社書面授權,不得以任何形式刊載、播放。
     
    相關新聞:
    · 在售基金[2012-04-20] 2012-04-20
    · 在售基金[2012-04-13] 2012-04-13
    · 在售基金[2012-04-06] 2012-04-06
    · 在售基金[2012-03-30] 2012-03-30
    · 在售基金[2012-03-23] 2012-03-23
     
    頻道精選:
    ·[財智]誠信缺失 家樂福超市多種違法手段遭曝光·[財智]歸真堂創業板上市 “活熊取膽”引各界爭議
    ·[思想]夏斌:人民幣匯率不能一浮了之·[思想]劉宇:轉型,還須變革戶籍制度
    ·[讀書]《歷史大變局下的中國戰略定位》·[讀書]秦厲:從迷思到真相
     
    關于我們 | 版權聲明 | 聯系我們 | 媒體刊例 | 友情鏈接
    經濟參考報社版權所有 本站所有新聞內容未經經濟參考報協議授權,禁止轉載使用
    新聞線索提供熱線:010-63074375 63072334 報社地址:北京市宣武門西大街57號
    Copyright 2000-2010 XINHUANET.com All Rights Reserved.京ICP證010042號
    国产精品清高在线