• <tt id="iii8i"></tt>
  • <li id="iii8i"><tt id="iii8i"></tt></li>
  • <li id="iii8i"><tt id="iii8i"></tt></li>
    <li id="iii8i"></li>
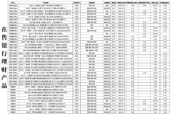
    在售銀行理財產品[2014-05-16]
    2014-05-16   作者:  來源:經濟參考報
    分享到:
    【字號

      凡標注來源為“經濟參考報”或“經濟參考網”的所有文字、圖片、音視頻稿件,及電子雜志等數字媒體產品,版權均屬經濟參考報社,未經經濟參考報社書面授權,不得以任何形式刊載、播放。
     
    集成閱讀:
    · 央行官員放風整頓金融理財產品 2014-05-10
    · 在售銀行理財產品[2014-05-09] 2014-05-09
    · 近三成理財產品到期收益率留白 2014-05-06
    · 在售銀行理財產品[2014-04-25] 2014-04-25
    · 銀行理財產品收益呈下降趨勢 2014-04-25
     
    頻道精選:
    ·[財智]誠信缺失 家樂福超市多種違法手段遭曝光·[財智]歸真堂創業板上市 “活熊取膽”引各界爭議
    ·[思想]投資回升速度取決于融資進展·[思想]全球債務危機 中國如何自處
    ·[讀書]《歷史大變局下的中國戰略定位》·[讀書]秦厲:從迷思到真相
     
    關于我們 | 版權聲明 | 聯系我們 | 媒體刊例 | 友情鏈接
    經濟參考報社版權所有 本站所有新聞內容未經經濟參考報協議授權,禁止轉載使用
    新聞線索提供熱線:010-63074375 63072334 報社地址:北京市宣武門西大街57號
    JJCKB.CN 京ICP備12028708號
    国产精品清高在线