• <tt id="iii8i"></tt>
  • <li id="iii8i"><tt id="iii8i"></tt></li>
  • <li id="iii8i"><tt id="iii8i"></tt></li>
    <li id="iii8i"></li>
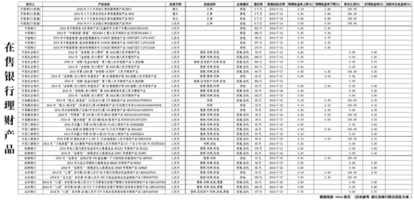
    在售銀行理財產品[2014-07-18]
    2014-07-18    作者:Wind資訊    來源:經濟參考報
    分享到:
    【字號

      凡標注來源為“經濟參考報”或“經濟參考網”的所有文字、圖片、音視頻稿件,及電子雜志等數字媒體產品,版權均屬經濟參考報社,未經經濟參考報社書面授權,不得以任何形式刊載、播放。
     
    集成閱讀:
    · 零門檻 高收益 票據理財品受追捧
    · 定增幕后的銀行理財A計劃:用理財產品獲優先級
    · 銀行理財產品"暗地"輸血地方投資
    · 在售銀行理財產品[2014-07-11]
    · 基金券商海外“淘新”理財產品涌現
     
    頻道精選:
    · 【思想】金磚銀行促全球金融體系改革 2013-06-14
    · 【讀書】互聯網金融重構金融業 2014-07-15
    · 【財智】鵬華基金副總辭職 國際業務或現跛腳效應 2014-07-18
    · 【深度】人民幣國際化駛入“快車道” 2014-07-18
     
    關于我們 | 版權聲明 | 聯系我們 | 媒體刊例 | 友情鏈接
    經濟參考報社版權所有 本站所有新聞內容未經經濟參考報協議授權,禁止轉載使用
    新聞線索提供熱線:010-63074375 63072334 報社地址:北京市宣武門西大街57號
    JJCKB.CN 京ICP證12028708號
    国产精品清高在线