• <tt id="iii8i"></tt>
  • <li id="iii8i"><tt id="iii8i"></tt></li>
  • <li id="iii8i"><tt id="iii8i"></tt></li>
    <li id="iii8i"></li>
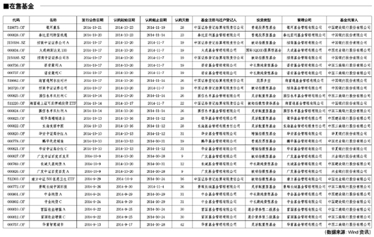
    在售基金[2014-10-24]
    2014-10-24    作者:    來源:經濟參考報
    分享到:
    【字號

      凡標注來源為“經濟參考報”或“經濟參考網”的所有文字、圖片、音視頻稿件,及電子雜志等數字媒體產品,版權均屬經濟參考報社,未經經濟參考報社書面授權,不得以任何形式刊載、播放。
     
    集成閱讀:
    · 在售基金[2014-08-29]
    · 在售基金[2014-08-22]
    · 在售基金[2014-08-15]
    · 在售基金[2014-08-08]
    · 在售基金[2014-08-01]
     
    頻道精選:
    · 【思想】建設法治經濟把改革開放推向深入 2013-06-14
    · 【讀書】改革需要新啟蒙 2014-10-24
    · 【財智】GQY視訊鬧。杭易迤髽I公司治理缺陷凸顯 2014-10-24
    · 【深度】巴西大選迎決戰:主拼民生與經濟 2014-10-24
     
    關于我們 | 版權聲明 | 聯系我們 | 媒體刊例 | 友情鏈接
    經濟參考報社版權所有 本站所有新聞內容未經經濟參考報協議授權,禁止轉載使用
    新聞線索提供熱線:010-63074375 63072334 報社地址:北京市宣武門西大街57號
    JJCKB.CN 京ICP證12028708號
    国产精品清高在线