• <tt id="iii8i"></tt>
  • <li id="iii8i"><tt id="iii8i"></tt></li>
  • <li id="iii8i"><tt id="iii8i"></tt></li>
    <li id="iii8i"></li>
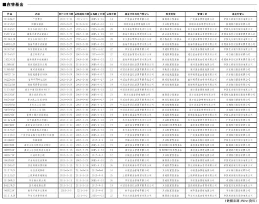
    在售基金[2015-04-03]
    2015-04-03    作者:    來源:經濟參考報
    分享到:
    【字號

      凡標注來源為“經濟參考報”或“經濟參考網”的所有文字、圖片、音視頻稿件,及電子雜志等數字媒體產品,版權均屬經濟參考報社,未經經濟參考報社書面授權,不得以任何形式刊載、播放。
     
    集成閱讀:
    · 在售基金[2014-12-12]
    · 在售基金[2014-12-05]
    · 在售基金[2014-11-28]
    · 在售基金[2014-11-21]
    · 在售基金[2014-11-14]
     
    頻道精選:
    · 【思想】光是警告違規A級景區還不夠 2013-06-14
    · 【讀書】如何保持持續的專注力? 2015-04-02
    · 【財智】多券商交易系統故障 凸顯服務管理不足 2014-12-05
    · 【深度】開啟航空業低碳革命新時代 2015-04-03
     
    關于我們 | 版權聲明 | 聯系我們 | 媒體刊例 | 友情鏈接
    經濟參考報社版權所有 本站所有新聞內容未經經濟參考報協議授權,禁止轉載使用
    新聞線索提供熱線:010-63074375 63072334 報社地址:北京市宣武門西大街57號
    JJCKB.CN 京ICP證12028708號
    国产精品清高在线